456 Views
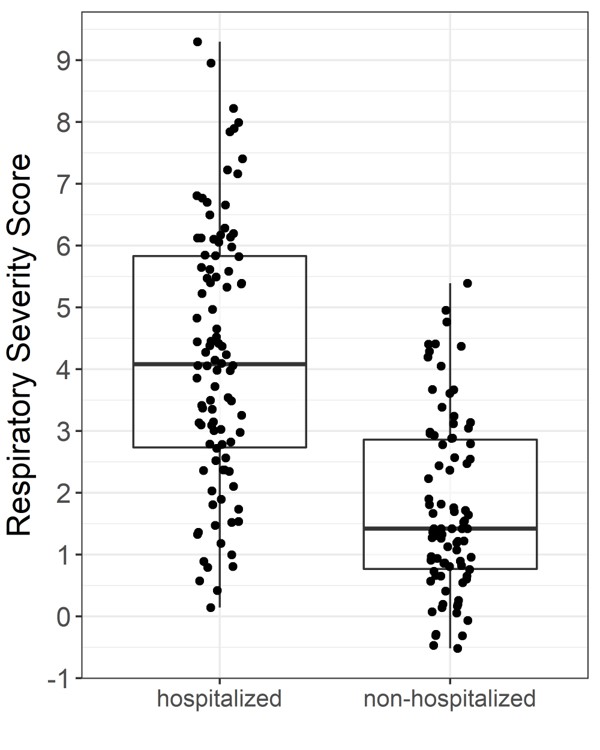
Boxplot demonstrating the difference in GRSS between hospitalized and non hospitalized infants
Xing Qiu, PhD
Associate Professor of Biostatistics and computational biology
University of Rochester Medical Center
Rochester, New York
Disclosure: I do not have any relevant financial / non-financial relationships with any proprietary interests.
Lu Wang, MS
Assistant
University of Rochester Medical Center
Pittsford, New York
Disclosure: I do not have any relevant financial / non-financial relationships with any proprietary interests.
Edward E. Walsh, MD
Professor of Medicine
University of Rochester
Rochester, New York
Disclosure: I do not have any relevant financial / non-financial relationships with any proprietary interests.
Mary T. Caserta, MD
Professor of Pediatrics, Infectious Diseases
University of Rochester Medical Center
Rochester, NY
Disclosure: I do not have any relevant financial / non-financial relationships with any proprietary interests.