500 Views
Category: HIV: Treatment
Poster Session: HIV: Treatment
Wei-chieh Huang
Medical student
School of medicine, National Taiwan University
Taipei City, Taipei, Taiwan
Disclosure: I do not have any relevant financial / non-financial relationships with any proprietary interests.
Sung-Hsi Huang
Attending physician
1. Department of Internal Medicine, National Taiwan University Hospital Hsinchu Branch, 2. Department of tropical medicine and parasitology, National Taiwan University College of Medicine
Hsinchu, Hsinchu, Taiwan
Disclosure: I do not have any relevant financial / non-financial relationships with any proprietary interests.
Chien-Ching Hung
Professor
1.Department of Internal Medicine, National Taiwan University Hospital and National Taiwan University College of Medicine 2. Department of Parasitology, National Taiwan University College of Medicine
Taipei City, Taipei, Taiwan
Disclosure: Abbvie (Advisor or Review Panel member, Speaker's Bureau)Bristol-Myers Squibb (Speaker's Bureau)Gilead Sciences (Advisor or Review Panel member, Speaker's Bureau)Janssen (Grant/Research Support, Advisor or Review Panel member)Merck (Grant/Research Support)ViiV (Grant/Research Support, Advisor or Review Panel member, Speaker's Bureau)
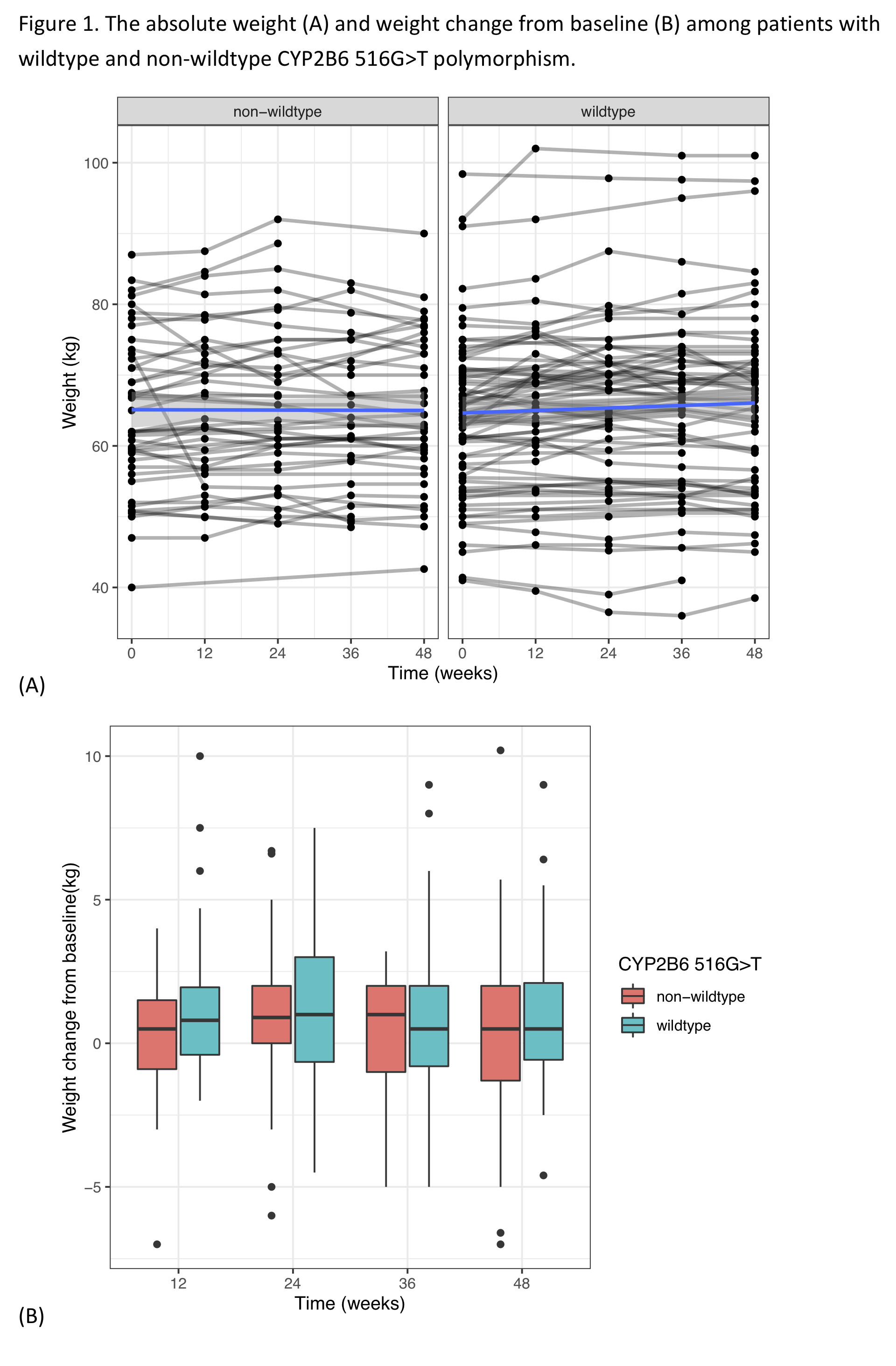
Figure 1. The absolute weight (A) and weight change from baseline (B) among patients with wildtype and non-wildtype CYP2B6 516G>T polymorphism..png)