791 Views
Category: Pediatric Antimicrobial Stewardship (inpatient/outpatient pediatric focused)
Poster Session: Pediatric Antimicrobial Stewardship (inpatient/outpatient pediatric focused)
Bethany A. Wattles
Assistant Professor of Pediatrics
University of Louisville School of Medicine
Jackson, Mississippi
Disclosure: Kentucky Medicaid (Grant/Research Support)Merck (Grant/Research Support)
Kahir S. Jawad
Biostatistician II
University of Louisville
Louisville, Kentucky
Disclosure: I do not have any relevant financial / non-financial relationships with any proprietary interests.
Yana Feygin
Biostatistician
University of Louisville
Louisville, Kentucky
Disclosure: I do not have any relevant financial / non-financial relationships with any proprietary interests.
Maiying Kong
Professor
University of Louisville
Louisville, Kentucky
Disclosure: I do not have any relevant financial / non-financial relationships with any proprietary interests.
Navjyot Vidwan
Dr Navjyot K. Vidwan
University of Louisville
Louisville, Kentucky
Disclosure: I do not have any relevant financial / non-financial relationships with any proprietary interests.
Michelle D. Stevenson
Professor f Pediatrics
Norton Children's Medical Group and University of Louisville
Louisville, Kentucky
Disclosure: I do not have any relevant financial / non-financial relationships with any proprietary interests.
Michael J. Smith
Professor of Pediatrics
Duke University
Durham, North Carolina
Disclosure: Kentucky Medicaid (Grant/Research Support)Merck (Grant/Research Support)
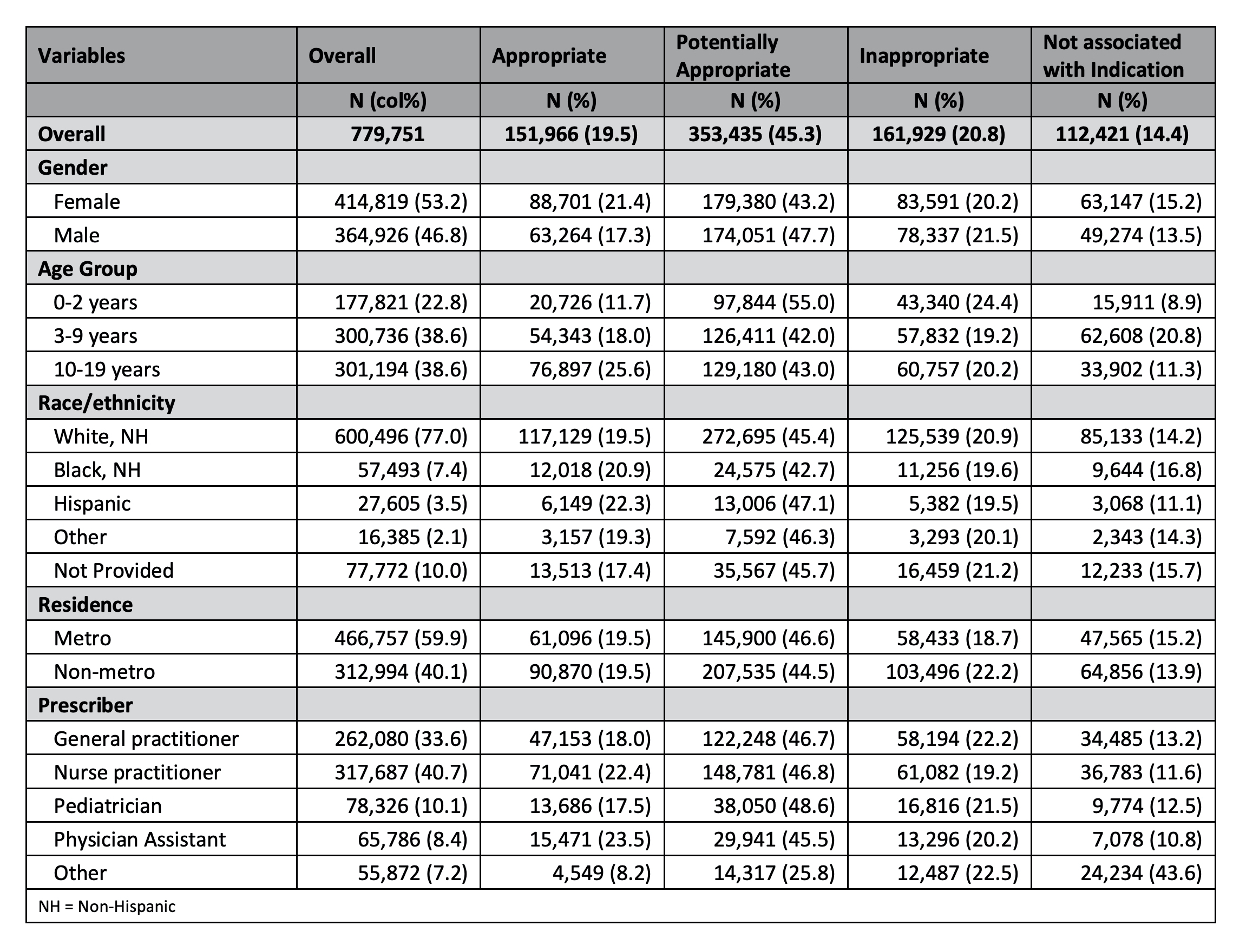
Table 2: Top Diagnoses for Antibiotic Prescriptions by Category.jpg)