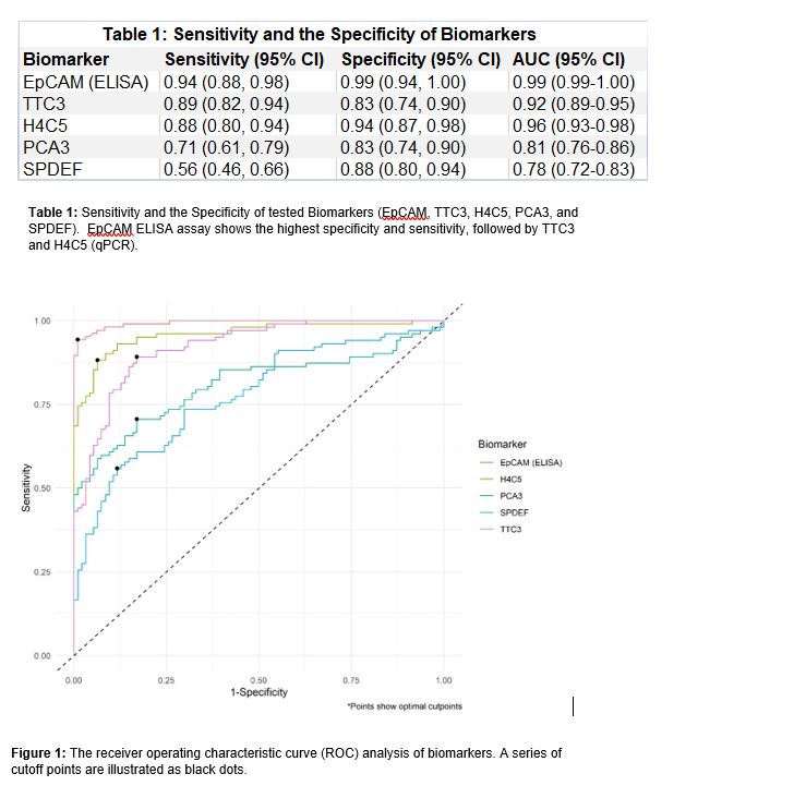
Introduction: Prostate Cancer (PCa) is one of the leading causes of cancer deaths among American men; however, the estimated number of diagnoses represents a small fraction of disease-related biopsies performed yearly. Although the Prostate-Specific Antigen (PSA) test is widely used for screening, several advisory groups recommend against using PSA because of its suboptimal performance. Thus, there is an urgent unmet need for novel and more accurate diagnostic biomarkers for PCa detection and to differentiate aggressive cancer from its indolent form. Methods: In our study, we used voided urine (50ml) from pre and post-prostatectomy men with PCa and urine from normal healthy men as control. We isolated RNA from exfoliated cells and debris shed into urine and performed RNA-sequencing using the Illumina Next-seq 550 platform. Advanced computational and machine-learning approaches were employed to identify candidate biomarkers in men with PCa. We examined the TCGA database to validate the PCa-specific expression of the identified RNA in tumor tissues. Two RNA markers were further tested by qPCR, and one urinary soluble protein marker was measured by immunoassays. Results: Our study included 106 men with PCa and 88 control men. We identified and validated the presence of =1 RNA markers (TTC3, H4C5) and a protein marker (EpCAM) in urine as potential candidate biomarkers for PCa detection. We tested and developed these markers using qPCR for TTC3, H4C5, and ELISA assay for EpCAM with higher specificity and sensitivity (Table 1). Our results outperformed known urinary markers, PCA3 and SPDEF (Figure 1). TTC3, H4C5, and EpCAM markers diminished to low or undetectable levels in post-prostatectomy compared to pre-prostatectomy men with PCa. shRNA knockdown of TTC3 and EpCAM in androgen-sensitive and insensitive cells induced biological changes, suggesting their relevance to Prostate Cancer. Conclusions: We report a highly accurate panel of 3 urine-based biomarkers that detect PCa consisting of EpCAM (protein) and TTC3 and H4C5 (RNA). To identify the advantage of using individual or combinatorial markers is an ongoing study in our laboratory. SOURCE OF Funding: Florida Department of Health, Bankhead-Coley Cancer Research Program 5BC08 to RJP International Prostate Cancer Foundation (IPCF) to R.J.P and VP National Institutes of Health grant NCI 5P30CA030199 to RJ.P