Poster Session D
Henriette Didriksen, MS
Oslo University Hospital
Moss, Norway
Figure 1: Schematic overview of the number of systemic sclerosis (SSc) patients included in ELISA 1, Luminex and ELISA 2.
Figure 2: CCL21 serum levels and correlation analysis in ELISA 1, Luminex and ELISA 2.
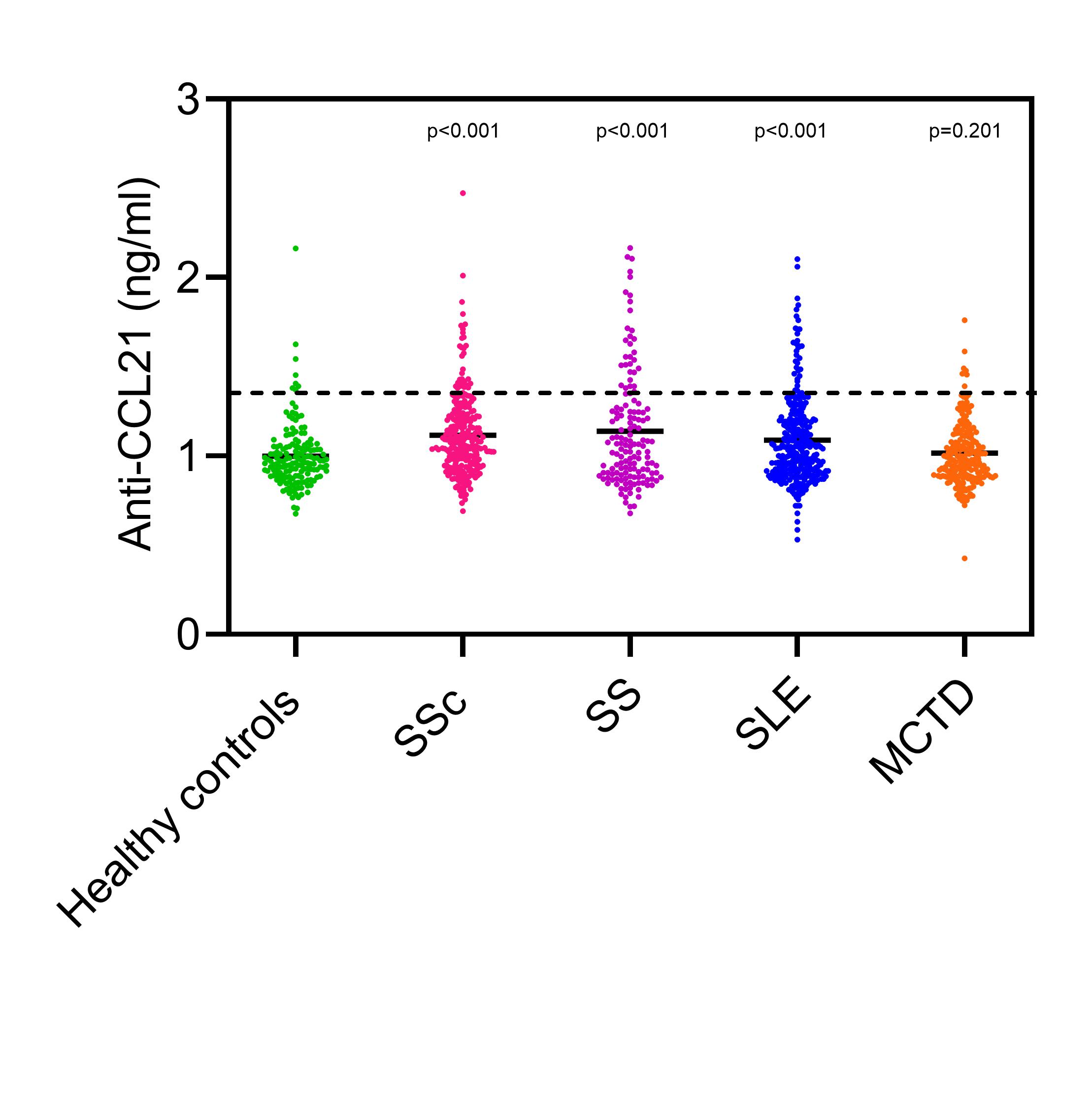
Figure 3: Serum anti-CCL21 antibody level in healthy controls and patients with different systemic connective tissue diseases.