Abstract Session
Christopher Redmond, MD, MSc
National Institutes of Health
Rockville, MD, United States
Figure 1 Variation in serum biomarker expression in MIS-C patients based on clinical phenotype
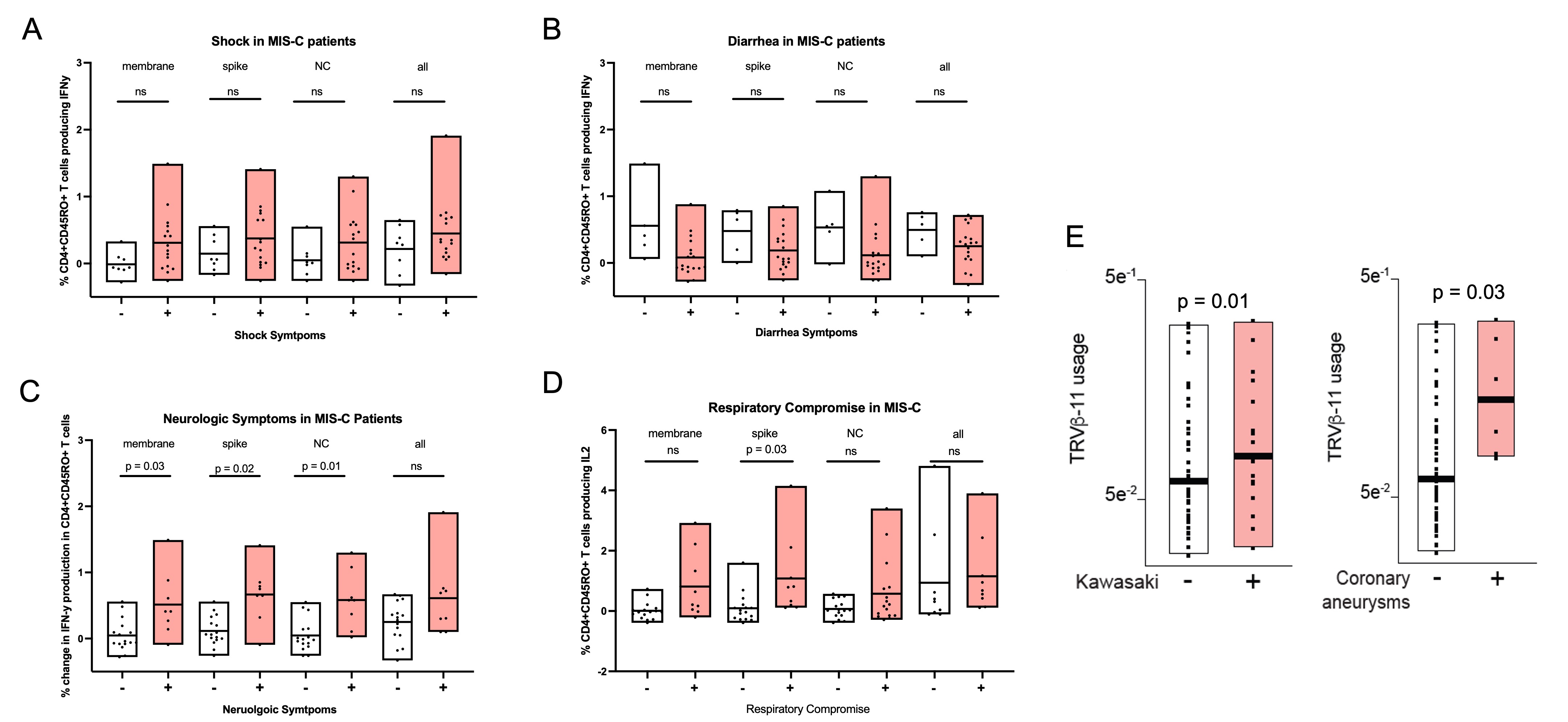
Figure 2 PBMCs stimulated with SARS-CoV2 peptides, membrane, spike, nucleocapsid (NC), and all of the peptides pooled together. Cytokine expression was analyzed by flow cytometry in CD4+CD45RO+ T cells. IFNy expression was trended higher in patients with shock (2A) and lower in patients with diarrhea (2B). IFNy expression was significantly higher in patients with neurologic symptoms (2C) and IL2 was significantly higher in patients with respiratory compromise (2D). TRVB-11 usage as significantly higher in MIS-C patients who met the criteria for complete on incomplete Kawasaki Disease and those with documented coronary aneurysms (2E).