Abstract Session
Flavia Sunzini, MD
Glasgow University
Glasgow, United Kingdom
Location and connectivity to right and left insula cortices in PsA patients with higher degree of nociplastic pain. PFC, Prefrontal Cortex.
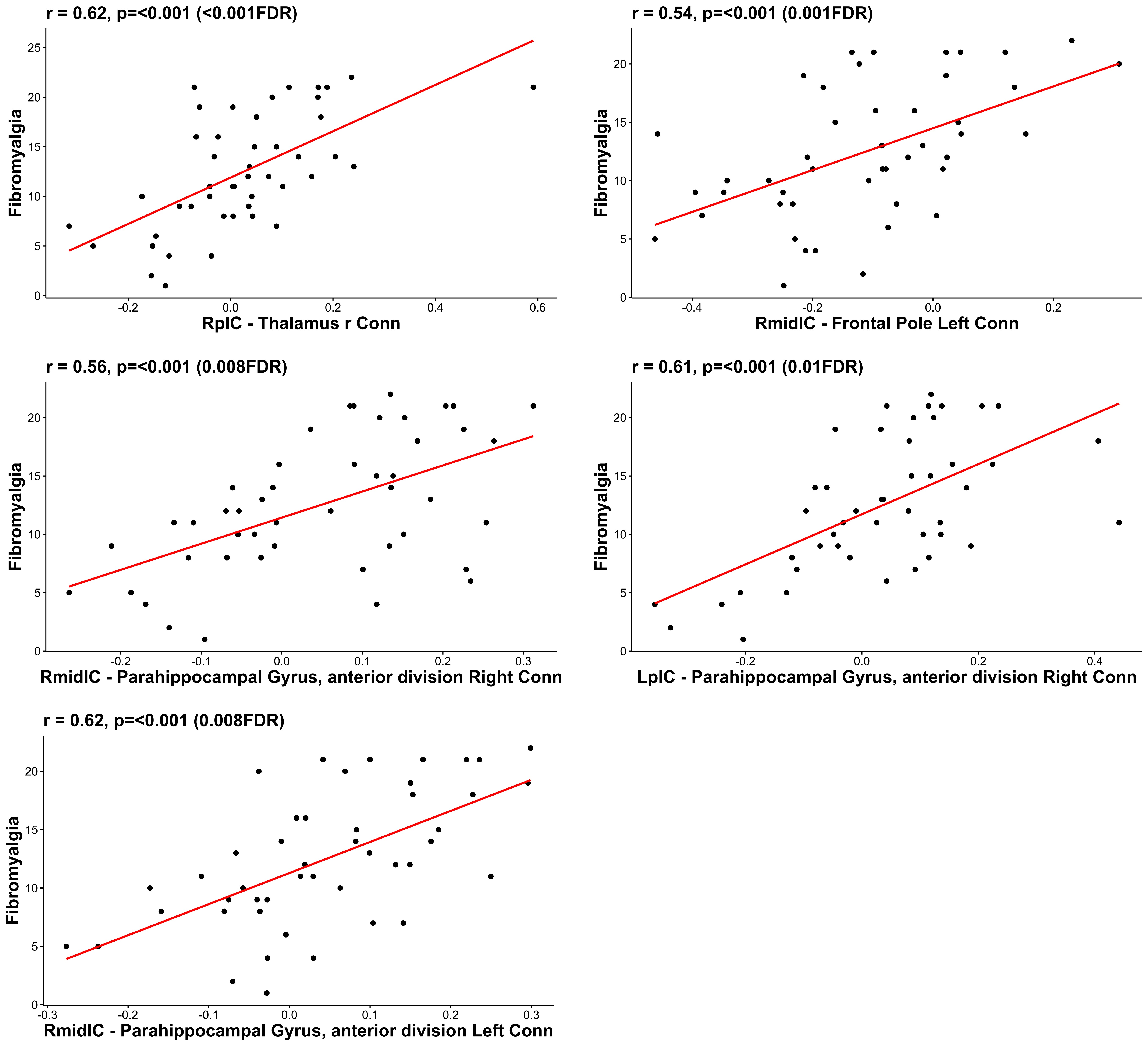
Pearson correlations between connectivity to Insula cortices and fibromyalgia score. 