Poster Session D
Siri Lillegraven, MD, PhD, MPH
Diakonhjemmet Hospital
Oslo, Norway
Table. Baseline characteristics
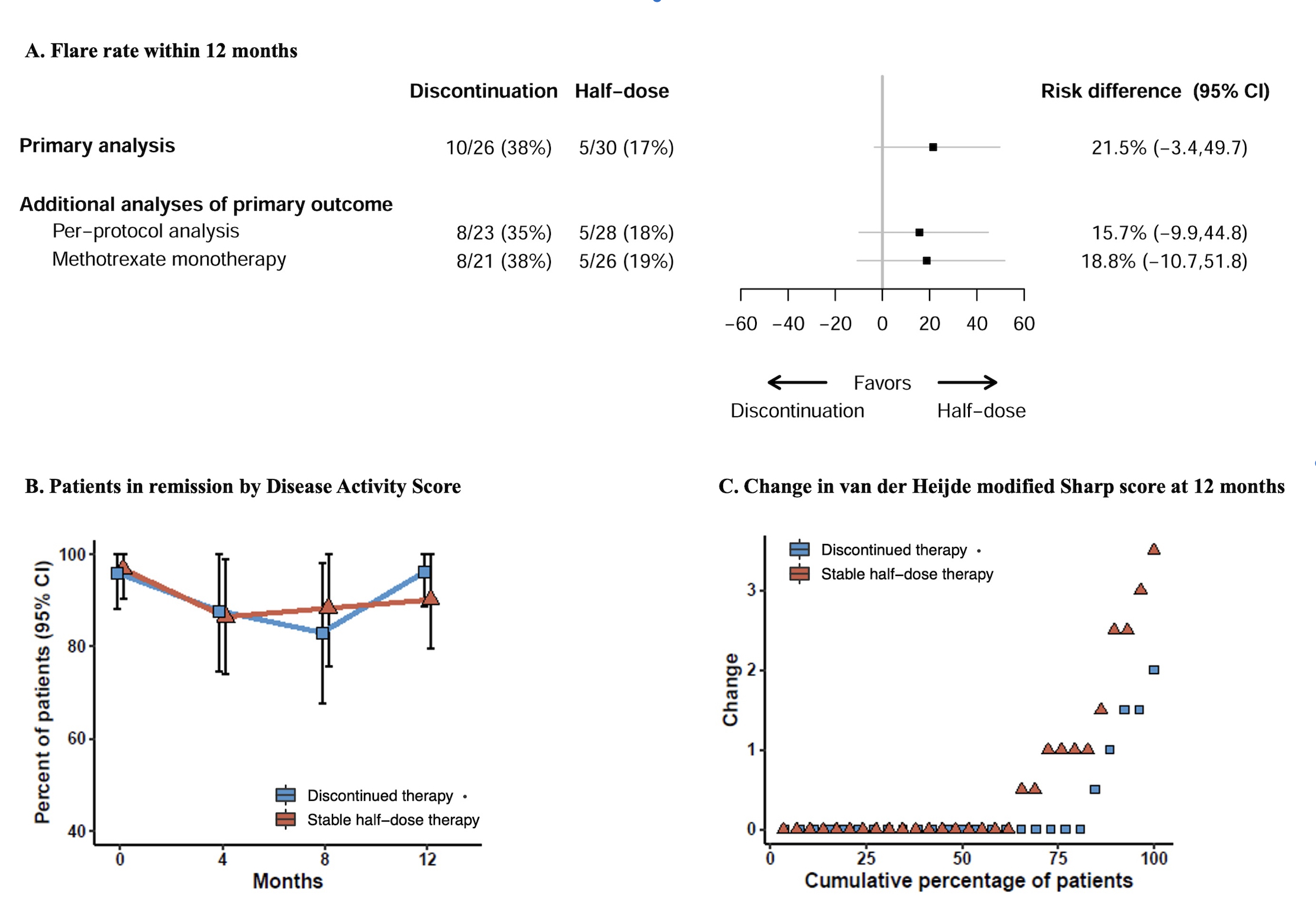
Figure. A) Flare rate (main outcome) within 12 months B) Patients in remission according to Disease Activity Score C) Cumulative plot for change in van der Heijde Sharp score at 12 months