115 Views
Category: Bacteremia
Poster Session: Bacteremia
Hsin-Yun Sun
Associate Professor
National Taiwan University Hospital
Taipei, Taipei, Taiwan (Republic of China)
Disclosure: I do not have any relevant financial / non-financial relationships with any proprietary interests.
Aristine Cheng
Physician
National Taiwan University Hospital
Taipei, Taipei, Taiwan (Republic of China)
Disclosure: I do not have any relevant financial / non-financial relationships with any proprietary interests.
Yu-Chung Chuang
Visiting Staff
National Taiwan University Hospital and National Taiwan University College of Medicine
Taipei, Taipei, Taiwan
Disclosure: I do not have any relevant financial / non-financial relationships with any proprietary interests.
San-Yuan Wang
Assistant Professor
Taipei Medical University
Taipei, Taipei, Taiwan
Disclosure: I do not have any relevant financial / non-financial relationships with any proprietary interests.
Ching-Hua Kuo
Professor
National Taiwan University
Taipei, Taipei, Taiwan
Disclosure: I do not have any relevant financial / non-financial relationships with any proprietary interests.
Yufeng Tseng
Professor
National Taiwan University
Taipei, Taipei, Taiwan
Disclosure: I do not have any relevant financial / non-financial relationships with any proprietary interests.
Yee-Chun Chen
Professor
National Taiwan University Hospital
Taipei, Taipei, Taiwan (Republic of China)
Disclosure: I do not have any relevant financial / non-financial relationships with any proprietary interests.
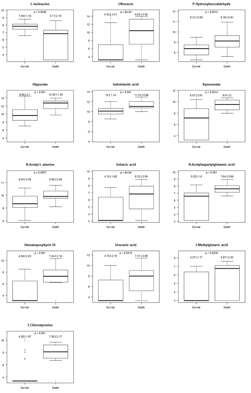
Figure 2. Box plots showing significant changes of the 13 potential markers in the level of metabolites among the death and survival groups.
Table 2: Identified metabolites, p value, VIP, and the result of logistic regression.