511 Views
Category: Novel Agents
Poster Session: Novel Agents
Christian M. Gill
Infectious Diseases Pharmacy Fellow
Hartford Hospital
Hartford, Connecticut
Disclosure: I do not have any relevant financial / non-financial relationships with any proprietary interests.
Kamilia Abdelraouf
Associate Director
Hartford Hospital
Hartofrd, CT
Disclosure: I do not have any relevant financial / non-financial relationships with any proprietary interests.
David P. Nicolau
Director
Hartford Hospital
Hartford, Connecticut
Disclosure: Cepheid (Other Financial or Material Support, Consultant, speaker bureau member or has received research support .)Merck & Co., Inc. (Consultant, Grant/Research Support, Speaker's Bureau)Wockhardt (Grant/Research Support)
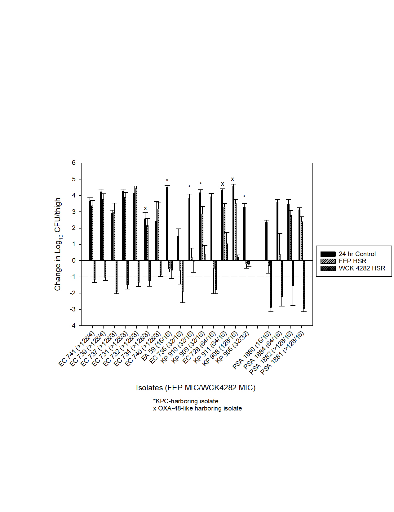
Figure 1. Mean Change in log10CFU/thigh for 24 h controls, FEP HSR, and WCK 4282 HSR across the tested MIC distribution.